一品楼站街论坛,同城楼风信信息,小红楼论坛免费信息,群狼谷全国论坛

ÊÖ»úɨÂ룬΢ÐÅ×Éѯ!

¶Ô¿ÕÇ鱨À×´ïÕ¾µç´Å»·¾³·À»¤ÒªÇó(GB 13618-92)-·øÉäÒÇ,·øÉä¼ì²âÒÇ,·øÉ䱨¾¯ÒÇ,·øÉ䰲ȫ±¨¾¯ÒÇ,¸öÈË·øÉ䱨¾¯ÒÇ,·øÉ䱨¾¯Æ÷|ÉϺ£|·øÉä¼ì²âÒÇÆ÷Íø_ÔÆÄÏ_À¥Ã÷

µç»°£º86-021-69515711
´«Õ棺86-021-69515712

³ÉÏÈÉú-ÉϺ£ÈÊÈÕ·øÉä·À»¤ ¿Í·þ

ÁªÏµÎÒÃÇ
¹Ø×¢£ºÈÊÈտƼ¼
¹Ø×¢ÈÊÈտƼ¼;»ñÈ¡·øÉä·À»¤ÖªÊ¶£¡
ÍÆ¼ö²úÆ·
  •   ·øÉä¾¯Ê¾ÅÆ µçÀë·øÉ侯¸æ±êÖ¾

    ²ÄÁÏ£º PVCËÜÁÏ   ²»¸É½º  ¹æ¸ñ£º 25 ¡Á 30cm ˵Ã÷£ºµçÀë·øÉ侯¸æ±êÖ¾µÄº¬ÒåÊÇʹÈËÃÇ×¢Òâ¿ÉÄÜ·¢ÉúµÄΣÏÕ¡£Æä±³¾°Îª»ÆÉ«£¬ÕýÈý½ÇÐα߿ò¼°µçÀë·øÉä±ê־ͼÐξùΪºÚÉ«£¬¡°µ±ÐĵçÀë·øÉ䡱ÓúÚÉ«´ÖµÈÏßÌå×Ö¡£±êÅÆµÄ³ß´ç¡¢ÐÎ×´ºÍÑÕÉ«¼°ÎÄ×ÖÃèÊöÑϸñ°´¡¶GB 18871-200

  •   REN500H ·øÉä¼ì²âÒÇ

    REN500H·øÉä·À»¤ÓÃX¡¢¦Ã·øÉä¼ÁÁ¿µ±Á¿(ÂÊ)ÒÇÊǼà²â¸÷Öָ߼ÁÁ¿·ÅÉäÐÔ¹¤×÷³¡ËùµÄ·øÉä¼ÁÁ¿ÂÊרÓÃÒÇÆ÷¡£ÒÇÆ÷Âú×ã¡¶»·¾³µØ±í¦Ã·øÉä¼ÁÁ¿Âʲⶨ¹æ·¶¡·Öи߼ÁÁ¿²¿·ÖµÄÒªÇ󡣸ÃÒÇÆ÷³ýÄܲâ¸ßÄܦÃÉäÏßÍ⣬»¹ÄܶԵÍÄÜXÉäÏß½øÐÐ׼ȷµÄ²âÁ¿£¬¾ßÓÐÁ¼ºÃµÄÄÜÁ¿ÏìÓ¦ÌØÐÔ¡£´ËÍâͨ¹ýÅäÌ×µÄRenRiRate·øÉä¼ÁÁ¿¹ÜÀíÈí¼þ¿É½«´æ´¢

  •   REN200 ·øÉ䱨¾¯Æ÷

       REN200ÐÍX¡¢¦Ã¸öÈ˼ÁÁ¿±¨¾¯ÒÇ£¨ÓÖ½ÐX¡¢¦Ã·øÉä¸öÈ˼ÁÁ¿µ±Á¿HP(10)¼à²âÒÇ£©ÄÚÖøßÁéÃô¶È¸Ç¸ñ¼ÆÊý¹ÜΪ̽²âÆ÷£¬Ö÷ÒªÓÃÀ´¼à²â¸÷ÖÖ·ÅÉäÐÔ¹¤×÷³¡ËùµÄX¡¢¦ÃÒÔ¼°Ó²¦ÂÉäÏߵķøÉ䣬¾ßÓÐÏìÓ¦¿ì£¬²âÁ¿·¶Î§¿íµÄÌØµã¡£ÄÜÏÔʾ¹¤×÷³¡ËùµÄ¼ÁÁ¿µ±Á¿ÂʺÍÀÛ»ý¼ÁÁ¿£¬¸ü»»µç³ØÊ±£¬ÈÕÆÚ¼°ÀÛ»ýÊý¾ÝÄÜÓÀ¾Ã±£

  •   REN500T ³¤¸Ë·øÉä¼ÁÁ¿ÂÊÒÇ

          REN500TÊÇÊÖ³ÖʽÒDZí¿ÉÓÃÀ´¼à²âX¡¢¦Ã·øÉä¼ÁÁ¿ÂÊ¡£ÓÃÓÚ¸÷Ö֦÷øÉ䳡»ò»·¾³¦Ã·øÉäµÄ¼à²â¹¤×÷¡£ÒÇÆ÷ÅäÓÐÉìËõ³¤¸Ë£¬¿ÉÓÃÓÚ²âÁ¿ÈËÔ±²»Ò×µ½´ï»òÓнÏÇ¿·ÅÉäÐÔ´æÔڵij¡Ëù£¬ÎªÊ¹ÓÃÈËÔ±ÌṩÓÐЧ±£»¤¡£´ËÍâͨ¹ýÅäÌ×µÄRenRiRate·øÉä¼ÁÁ¿¹ÜÀíÈí¼þ¿É½«´æ

  •   REN700 ͨµÀʽ³µÁ¾¼ì²âϵͳ

    ¼ò½é£º     REN700ÐÍͨµÀʽ³µÁ¾·ÅÉäÐÔ¼ì²âϵͳÊÇÓÃÓÚ¶Ôͨ¹ýͨµÀµÄ¿¨³µ¡¢¼¯×°ÏäµÈ³µÁ¾ÄÚÔËÊäÎïÆ·µÄ·ÅÉäÐÔÎÛȾ¼°·øÉäй¶ˮƽµÄÈ«Ììºò̽²âϵͳ¡£¸Ãϵͳ¾ßÓÐÁéÃô¶È¸ß¡¢Ì½²â·¶Î§¹ã¡¢ÏìӦʱ¼ä¶ÌµÈÌØµã£¬¿ÉʵÏÖ×Ô¶¯·øÉ䱨¾¯¡¢×Ô¶¯Êý¾Ý´æ´¢¡¢×Ô¶¯×¥ÅÄͨ¹ý³µÁ¾ÕÕÆ¬µÈ¹¦ÄÜ¡£Ö÷Òª°²×°ÔÚºË

  •   REN-SN °ëµ¼Ì峬¸ßÁ¿³ÌÉäÏß̽ͷ

    RENϵÁÐÖÇÄÜ»¯·øÉä̽ͷ¾ù¿ÉºÍREN300¡¢REN300A¡¢REN300BϵÁÐÖ÷»úÅäÌ×ʹÓÃ,Ò²¿ÉÒÔµ¥¶ÀÅäÌ×RenRiArea·øÉäÇøÓò¼à²âÈí¼þʹÓá£ÇÒ¾ßÓÐRS485/RS232µÄͨѶÄÜÁ¦¡£ËùÓÐ̽ͷ¾ù¿Éµ¥¶ÀÍâ½Ó±¨¾¯µÆ£¬ÔÚ³¬ãÐÖµµÄÇé¿öϾ͵ظø³öÉù¹â±¨¾¯¡£ 1¡¢²âÁ¿ÉäÏßÀàÐÍ£ºX¡¢¦ÃÉäÏß2¡¢Ì½²âÆ÷£º°ëµ¼Ìå̽

  •   ·ÅÉäÔ´´¢´æ ·ÏÎïÏä

    1¡¢ÄÚ¾¶ 300¡Á300¡Á300mm2¡¢ÉÌÆ·ÃèÊö£º ǦÏä3¡¢Ç¦µ±Á¿£º 5mmPb4¡¢Íâ±í²ÄÖÊ£º²»Ðâ¸Ö5¡¢ÉϺ£ÈÊÈÕ

  •   REN-GM-H GM¹Ü¸ßÁ¿³ÌÉäÏß̽ͷ

          RENϵÁÐÖÇÄÜ»¯·øÉä̽ͷ¾ù¿ÉºÍREN300¡¢REN300A¡¢REN300BϵÁÐÖ÷»úÅäÌ×ʹÓÃ,Ò²¿ÉÒÔµ¥¶ÀÅäÌ×RenRiArea·øÉäÇøÓò¼à²âÈí¼þʹÓá£ÇÒ¾ßÓÐRS485/RS232µÄͨѶÄÜÁ¦¡£ËùÓÐ̽ͷ¾ù¿Éµ¥¶ÀÍâ½Ó±¨¾¯µÆ£¬ÔÚ³¬ãÐÖµµÄÇé¿öϾ͵ظø³ö

±ê×¼Óë·¨¹æ

¶Ô¿ÕÇ鱨À×´ïÕ¾µç´Å»·¾³·À»¤ÒªÇó(GB 13618-92)

2006/9/16 20:50:00

¶Ô¿ÕÇ鱨À×´ïÕ¾µç´Å»·¾³·À»¤ÒªÇó

Requirements of electromagnetic enviroment
proteetion for air defense surveillance radar station

1 Ö÷ÌâÄÚÈÝÓëÊÊÓ÷¶Î§

    ±¾±ê×¼¹æ¶¨Á˶ԿÕÇ鱨À×´ïÕ¾¶Ô¸ßѹ¼Ü¿ÕÊäµçÏß·¡¢±äµçÕ¾¡¢Ìú·¡¢Æû³µ¹«Â·ºÍ¹¤¡¢¿Æ¡¢Ò½É䯵É豸µÈµç´Å·øÉäµÄ·À»¤ÒªÇ󣬲¢¹æ¶¨Á˶ԿÕÇ鱨À×´ïÕ¾ºÍÆäËûÎÞÏßµçÒµÎñÖ®¼äЭµ÷µÄÒÀ¾Ý¡£
    ±¾±ê×¼ÊÊÓÃÓÚ¹¤×÷ƵÂÊΪ80¡«3000MHzƵ¶ÎÄڵĶԿÕÇ鱨À×´ïÕ¾¡£

2 ÊõÓï

2.1 ¶Ô¿ÕÇ鱨À×´ïÕ¾ air defense surveillance radar station
    ¶Ô¿ÕÇ鱨À×´ïÕ¾ÓɶԿÕÇ鱨À״ѯÎÊ»úÒÔ¼°¸½ÊôÉ豸µÈ×é³É£¬ÔÚ·À¿ÕºÍ¿ÕÖн»Í¨¹ÜÖÆÏµÍ³ÖУ¬ÓÃÀ´ËÑË÷¡¢¼àÊÓºÍʶ±ð¿ÕÖÐÄ¿±ê£¬²â¶¨Æä×ø±ê¡£¶Ô¿ÕÇ鱨À×´ïÒ»°ã°üÀ¨¾¯½ä¡¢Òýµ¼¡¢²â¸ß¡¢Ä¿±êָʾ¡¢º½¹ÜÀ×´ïµÈ¡£
2.2 À×´ïÕ¾µç´Å»·¾³ radar station electromagnetic environment
    À×´ïÕ¾ÖÜΧ£¬×ÔÈ»ºÍÈËΪµÄ¸÷ÖÖµç´Å·øÉäÔÚÀ״﹤×÷Ƶ¶ÎÄڵĵç´ÅÄÜÁ¿¡¢Ê±¼ä¼°¿Õ¼ä·Ö²¼µÄ×ÜÌå¡£
2.3 ×î´óÈÝÐí¸ÉÈŵçѹ maximum permitted interference voltage
    ÔÚ²»ÄÜÍêÈ«±ÜÃâÓк¦¸ÉÈŵÄÌõ¼þÏ£¬¸ù¾Ý¸ÉÈÅ·À»¤×¼ÔòÈ·¶¨µÄÀ×´ï½ÓÊÕ»úÊäÈë¶ËÈÝÐíµÄ×î´ó¸ÉÈŵçѹ¡£
2.4 ×î´óÈÝÐí¸ÉÈų¡Ç¿ maximum permitted interference field strengrh
    À×´ï½ÓÊÕ»úÊäÈë¶Ë¸ÉÈŵçѹΪ×î´óÈÝÐíֵʱ£¬ÔÚÀ×´ïÌìÏßÖÐÐĸ߶ȴ¦µÄ¸ÉÈų¡Ç¿¡£
2.5 À×´ïÕ¾·À»¤¼ä¾à radar station protection distance
    ÄÜÂú×ã¸ÉÈÅ·À»¤×¼ÔòÒªÇóµÄÀ×´ïÌìÏßÓë¸÷¸ÉÈÅÔ´Ö®¼äµÄ×îС¼ä¸ô¾àÀë¡£
2.6 ¸ÉÈÅʱ¼ä interference duration
    À×´ï½ÓÊÕ»úÊäÈë¶Ë¸ÉÈŵçѹ³¬¹ý×î´óÈÝÐíÖµµÄ³ÖÐøÊ±¼ä¡£
2.7 µç´ÅÕϰ­Îï electromagnetic obstacle
    ÄܶÔÀ×´ïËù·øÉäµÄ¸ßƵµç´Å²¨²úÉúÕڱκ͸ÉÈÅÓ°ÏìµÄÉèÊ©£¬Í³³Æµç´ÅÕϰ­Îï¡£

3 ¸ÉÈÅ·À»¤×¼Ôò

3.1 ¶Ô¿ÕÇ鱨À×´ïÔÚÓÐÔ´¸ÉÈŲ»¿É±ÜÃâµÄÌõ¼þÏ£¬ÈÝÐíÓв»´óÓÚ5%µÄ̽²â¾àÀëËðʧ¡£
3.1.1 ¶Ô°×ÔëÉù¸ÉÈÅ£¬À×´ï½ÓÊÕ»úÊäÈë¶ËµÄ×î´óÈÝÐí¸ÉÈŵçѹΪ£º

         (1)

ʽÖУºUjfmax---½ÓÊÕ»úÊäÈë¶Ë×î´óÈÝÐí¸ÉÈŵçѹÓÐЧֵ£¬¦ÌV£»
      Unf---µÈЧµ½½ÓÊÕ»úÊäÈë¶ËµÄϵͳÔëÉùµçѹÓÐЧֵ£¬¦ÌV¡£È¡Öµ¼û±í1¡£

±í1 ½ÓÊÕ»úÊäÈë¶ËµÈЧÔëÉùµçѹ

Ƶ ÂÊ MHz 80¡«300 300¡«3000
Unf ¦ÌV 0.77 0.85

3.1.2 ¶Ô²»Í¬ÐÔÖʵÄËæ»ú¸ßƵÂö³å¸ÉÈÅ£¬ÔÚÀ×´ï½ÓÊÕ»úÊäÈë¶ËµÄ×î´óÈÝÐí¸ÉÈŵçѹΪ£º

         (2)

ʽÖУºC -- Ïà¶ÔÓÚ°×ÔëÉù×î´óÈÝÐí¸ÉÈŵçѹµÄÔöÁ¿ÏµÊý£¬È¡Öµ¼û±í2¡£

±í2 ²»Í¬ÐÔÖÊËæ»ú¸ßƵÂö³å¸ÉÈŵÄÔöÁ¿ÏµÊý

¸ÉÈÅÔ´ ¸ß ѹ    ¼Ü ¿Õ
ÊäµçÏß·¡¢±äµçÕ¾
µçÆø»¯
Ìú ·
Æû³µ
¹«Â·
¸ß Ƶ
ÈȺϻú
¹¤Òµ
µçº¸
¸ß Ƶ
ÀíÁÆ»ú
¸ßƵ¯
C 3 4 4 4 5.4 5.4 5.4

3.1.3 ¶Ô½ÓÊÕ»úͨƵ´øÒÔÍâµÄµ÷·ù¡¢µ÷Ƶ¸ÉÈÅÐźÅ£¬ÔÚÀ×´ï½ÓÊÕ»úÊäÈë¶ËµÄ×î´óÈÝÐí¸ÉÈŵçѹ¡£
3.1.3.1 ½ÓÊÕ»úÊäÈë¶Ë¶ÔͨƵ´øÍâÁÚÆµ¸ÉÈÅÐźŵÄ×î´óÈÝÐí¸ÉÈŵçѹΪ£º

         (3)

ʽÖУºUip¡÷fmax---½ÓÊÕ»úͨƵ´øÍâµÄ×î´óÈÝÐí¸ÉÈŵçѹ·åÖµ£¬dB(¦ÌV)£»
      Ujpmax---½ÓÊÕ»úͨƵ´øÄÚ×î´óÈÝÐí¸ÉÈŵçѹ·åÖµ£¬È¡Öµ¼û±í3£»
      K¡÷f---¸ÉÈÅÐÅºÅÆµÂÊÆ«Àë½ÓÊÕ»ú¹¤×÷ƵÂÊ¡÷fʱµÄ½ÓÊÕ»ú´øÍâÒÖÖÆÏµÊý£¬dB£¬È¡Öµ¼û±í4¡£

±í3 ½ÓÊÕ»úͨƵ´øÄÚ×î´óÈÝÐí¸ÉÈŵçѹ

¸ÉÈÅÖÖÀà µ÷ ·ù µ÷ Ƶ
Ƶ ¶Î MHz 80¡«300 300¡«3000 80¡«300 300¡«3000
Ujpmax  dB(¦ÌV) 6 6.9 18 18.7

±í4 ½ÓÊÕ»ú´øÍâÒÖÖÆÏµÊý

ƵƫMHz K¡÷fdB
80¡«300MHz 300¡«3000MHz
0.3 10 ¡ª¡ª
0.5 20 ¡ª¡ª
1.0 50 ¡ª¡ª
1.5 63 10
2.0 70 33
2.5 ¡ª¡ª 51
3.0 ¡ª¡ª 62
3.5 ¡ª¡ª 66
4.0 ¡ª¡ª 70

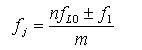
3.1.3.2 ¸ÉÈÅÐÅºÅÆµÂÊfjÂú×ã(4)ʽÌõ¼þʱ£¬ÔÚÀ×´ï½ÓÊÕ»úÊäÈë¶ËµÄ¸ÉÈŵçѹӦСÓÚ85dB(¦ÌV)¡£

         (4)

ʽÖУºfj---¸ÉÈÅÐÅºÅÆµÂÊ£¬MHz£»
      n---±¾ÕñƵÂʵÄг²¨´ÎÊý£¬ÕýÕûÊý1£¬2£¬3£»
      fLO---½ÓÊÕ»ú±¾ÕñƵÂÊ£¬MHz£»
      fI---½ÓÊÕ»úÖÐÆµÆµÂÊ£¬MHz£»
      m---¸ÉÈÅÆµÂʵÄг²¨´ÎÊý£¬ÕýÕûÊý1£¬2£¬3¡£

3.1.3.3 Èç¹ûÓÐÁ½ÉÏ»òÁ½¸öÒÔÉϵĸÉÈÅÐźÅͬʱ½øÈëÀ×´ï½ÓÊÕ»úÊäÈë¶Ë£¬ÆäƵÂÊÂú×ã²úÉú¶þ¡¢Èý½×»¥µ÷¸ÉÈÅÌõ¼þʱ£¬ÆäÖÐÒ»¸ö¸ÉÈÅÐźŵĵçѹӦµÍÓÚ60dB(¦ÌV)¡£
3.1.3.4 ÔÚÀ×´ï½ÓÊÕ»ú¸ß·Åͨ´øÍâ,¸ÉÈÅÐÅºÅÆµÂʲ»Âú×ã(4)ʽºÍ»¥µ÷¸ÉÈÅÌõ¼þʱ,¸ÉÈÅÐźŵçѹӦСÓÚ110dB(¦ÌV)¡£
3.2 µç´ÅÕϰ­Îï¶ÔÀ×´ï̽²â¾àÀëÓ°ÏìµÄËðʧ£¬²»³¬¹ý̽²â¾àÀëµÄ5%¡£
3.3 Ò»´ÎÁ¬½Ó¸ÉÈÅʱ¼ä²»³¬¹ý10s¡¢Á½´Î¸ÉÈŵļä¸ôʱ¼ä²»ÉÙÓÚ10s¡¢Ã¿Ð¡Ê±ÀۼƸÉÈÅʱ¼ä²»³¬¹ý¹¤×÷ʱ¼äµÄ5%¡£

4 ·À»¤¼ä¾à

    ¶Ô¿ÕÇ鱨À×´ïÕ¾¶Ô¸÷ÖÖ¸ÉÈÅÔ´µÄ·À»¤¼ä¾à¼û±í5¡£

±í5 ·À»¤¼ä¾à

¸É ÈÅ Ô´ ·À»¤¼ä¾à£¬km ±¸ ×¢
80¡«300MHz 300¡«3000MHz
¸ßѹ¼Ü¿Õ

ÊäµçÏß·
500kV 1.6 1.0   
220¡«330kV 1.2 0.8   
110kV 1.0 0.7   
¸ßѹ±äµçÕ¾ 500kV 3.0 1.2   
220¡«330kV 1.6 0.8   
110kV 1.4 0.7   
µçÆø»¯Ìú· ¹ú²ú»ú³µ 0.8 0.7   
·ÇµçÆø»¯Ìú· 0.6 0.5   
Æû³µ¹«Â· ¸ßËÙ¡¢Ò»¼¶ 1.0 0.7   
¶þ¼¶ 0.8 0.7   
¸ßƵÈȺϻú 1.2 1.2 ´Ó³§·¿ËãÆð
¸ßƵ¯ P¡Ü100kW 0.5 0.5 ÓÐÆÁ±ÎµÄ³§·¿£¬
´Ó³§·¿ËãÆð
¹¤Òµµçº¸ P¡Ü10kW 0.5 0.5   
³¬¸ßƵÀíÁÆ»ú P¡Ü1kW 1.0 1.0 ´Ó¹¤×÷¼äËãÆð
Å©ÓõçÁ¦É豸 P¡Ü1kW 0.5 0.5   
¡¡

    ×¢£ºa.ÌØÊâÇé¿öÏ£¬°´¸ÉÈÅ·À»¤×¼ÔòµÄÒªÇ󣬲ÎÕÕÓйظ½Â¼½øÐвâËã¡£
        b.À×´ï¶Ôµ÷·ù¡¢µ÷ƵÐźŷ¢ËÍÉ豸µÄ·À»¤¼ä¾à°´Óйظ½Â¼Öеķ½·¨¼ÆËã¡£

¶Ô¿ÕÇ鱨À×´ïÕ¾µç´Å»·¾³·À»¤ÒªÇó(GB 13618-92) µÄÏà¹Ø²úÆ·£º
  • REN310ÐÍÁ¢Öùʽ·øÉä¼à²âϵͳ

    ²úÆ·Ãû³Æ£ºREN310ÐÍÁ¢Öùʽ·øÉä¼à²âϵͳ

    ²úÆ·ÃèÊö£º    REN310ÐÍÁ¢Öùʽ·øÉä¼à²âϵͳ£¬Ö÷ÒªÓÃÓÚ·ÅÉäÐÔ¼à²â³¡ËùµÄÐÐÈË»òÐаüͨ¹ýµÄ¼à²âϵͳ£¬²ÉÓôóÌå»ýµÄÉÁ˸Ìå̽²âÆ÷×÷Ϊ̽²âÆ÷£¬¾ßÓÐÌå»ýС£¬±ãÓÚЯ´ø£¬ÁéÃô¶È¸ß£¬Îó²îСµÄÌØµã£¬ÊÊÓÃÓëºËÓ¦¼±µÈÌØÊâµÄ·ÅÉäÐÔ¼ì²â³¡ºÏ¡£¸ÃϵͳÖ÷ÒªÓɰ²×°ÔÚÏÖ³¡µÄÁ¢ÖùºÍÔ¶³Ì¼ÆËã»úϵͳ×é³É¡£Á¢ÖùÄÚÖõÄ

  • REN600AÐͦÁ¡¢¦Â¡¢¦ÃÉäÏß±íÃæÎÛȾ¼ì²âÒÇ

    ²úÆ·Ãû³Æ£ºREN600AÐͦÁ¡¢¦Â¡¢¦ÃÉäÏß±íÃæÎÛȾ¼ì²âÒÇ

    ²úÆ·ÃèÊö£ºREN600AÐͦÁ¡¢¦Â¡¢¦ÃÉäÏß±íÃæÎÛȾ¼ì²âÒǼ´¿É¼ì²â¦Á¡¢¦Â¡¢¦ÃÉäÏߣ¬Ò²Äܼì²âµ½XÉäÏß,Ëü²ÉÓøßËÙǶÈëʽ΢´¦Æ÷×÷ΪÊý¾Ý´¦Àíµ¥Ôª£¬µãÕóʽ´óÆÁÄ»LCDÒº¾§ÏÔʾ£¬¶ÁÊýÇåÎú¡¢²Ù×÷·½±ã£¬¾ßÓÐ400Ìõ³¬´óÈÝÁ¿Êý¾Ý´æ´¢¡£ÒÇÆ÷²ÉÓýø¿ÚµÄ´óÃæ»ýMICA¸Ç¸ï̽²âÆ÷£¬¾ßÓнϸß̽²âЧÂÊ£¬¿É½øÐЦÁ¡¢¦Â·øÉä±íÃæÎÛȾ¼ì²âºÍX¡¢¦Ã·ø

  • REN300+REN-3He-NÐ͹̶¨Ê½ÖÐ×Ó¡¢Ù¤Â걨¾¯ÒÇ

    ²úÆ·Ãû³Æ£ºREN300+REN-3He-NÐ͹̶¨Ê½ÖÐ×Ó¡¢Ù¤Â걨¾¯ÒÇ

    ²úÆ·ÃèÊö£º±¾±¨¾¯ÒÇÓÉREN300ÔÚÏß·øÉ䰲ȫ±¨¾¯ÒǺÍREN-3He-NÖÐ×Ó̽ͷºÍREN-NaI30Ù¤Âê̽ͷ×é³É¡£¸Ã·øÉ䱨¾¯×°ÖÃÊDzÉÓÃÌØÊâÉè¼ÆµÄǰÖ÷Ŵóµç·£¬¾ßÓÐÁéÃô¶È¸ß¡¢²Ù×÷·½±ã¡¢×Ô¶¯ÏÔʾ¡¢Êý¾Ý´æ´¢ºÍ³¬ãÐÖµ±¨¾¯µÈÌØµã£¬ÄÜʵʱ¸ø³öxÉäÏß¡¢¦ÃÉäÏß¡¢ÖÐ×ÓÉäÏߵķøÉä¼ÁÁ¿ÂÊ¡£¿¼Âǵ½ÏÖ³¡²Ù×÷¡¢Ó¦¼±¿ìËÙÏìÓ¦µÄÐèÒª£¬Ö÷»ú°²×°

  • REN300ÐÍÔÚÏßx-¦Ã·øÉ䰲ȫ±¨¾¯ÒÇ

    ²úÆ·Ãû³Æ£ºREN300ÐÍÔÚÏßx-¦Ã·øÉ䰲ȫ±¨¾¯ÒÇ

    ²úÆ·ÃèÊö£º  REN300ÔÚÏßx-¦Ã·øÉ䰲ȫ±¨¾¯ÒÇÊÇÒ»ÖÖÐÂÐ͵Äx-¦Ã·øÉäÁ¬Ðø¼à²â±¨¾¯×°Öã¬Ëü²ÉÓÃÌØÊâÉè¼ÆµÄǰÖ÷Ŵóµç·£¬¾ßÓÐÁéÃô¶È¸ß¡¢²Ù×÷·½±ã¡¢×Ô¶¯ÏÔʾ¡¢Êý¾Ý´æ´¢ºÍ³¬ãÐÖµ±¨¾¯µÈÌØµã£¬ÄÜʵʱ¸ø³öx¦Ã·øÉä¼ÁÁ¿ÂÊ¡£¿¼Âǵ½ÏÖ³¡²Ù×÷¡¢Ó¦¼±¿ìËÙÏìÓ¦µÄÐèÒª£¬Ö÷»ú°²×°ÔÚ·øÉäÏÖ³¡£¬ÊµÏÖʵʱ¼à²âÓë¾ÍµØ±¨¾¯£¬Í¨¹ýRS48

  • RenRiAreaÇøÓò·øÉä¼à²âϵͳ

    ²úÆ·Ãû³Æ£ºRenRiAreaÇøÓò·øÉä¼à²âϵͳ

    ²úÆ·ÃèÊö£ºÎªÁ˼ÓÇ¿¶Ô·ÅÉäÔ´ºÍÉäÏß×°Öð²È«ÔËÐеļල¹ÜÀí£¬±£ÕÏÈËÌ彡¿µ¡¢±£»¤»·¾³£¬¸ù¾Ý·øÉä·À»¤ÈýÔ­ÔòÓë¹ú¼ÒÏà¹Ø±ê×¼µÄÒªÇ󣬿¼ÂÇÈËΪ²Ù×÷ʧÎó¡¢ÉäÏß×°ÖúͷÅÉäÔ´ÒâÍâ¹ÊÕϵÈÔ­Òò¿ÉÄÜÒý·¢µÄ·ÅÉäÐÔΣº¦£¬ÓбØÒª½¨ÉèÒ»Ì×ÔÚÏßx¦ÃÉäÏß¼à²â±¨¾¯ÏµÍ³¡£   ÔÚÏßʽx¦ÃÉäÏß¼à²â±¨¾¯ÏµÍ³Í¨¹ý¼ÆËã»úÔ¶³Ì¼¯Öмà²â,Íê³É¶Ô·ÅÉäÐÔ

  • REN500LÐÍ»·¾³¼à²âÓÃX¡¢¦Ã·øÉä¿ÕÆø±ÈÊͶ¯ÄÜÂÊÒÇ

    ²úÆ·Ãû³Æ£ºREN500LÐÍ»·¾³¼à²âÓÃX¡¢¦Ã·øÉä¿ÕÆø±ÈÊͶ¯ÄÜÂÊÒÇ

    ²úÆ·ÃèÊö£ºREN500L»·¾³¼à²âÓÃX¡¢¦Ã·øÉä¿ÕÆø±ÈÊͶ¯ÄÜÂÊÒDzÉÓó¬´ó³ß´ç¡¢¸ßÁéÃôµÄÉÁ˸¾§Ìå×÷Ϊ̽²âÆ÷,·´Ó¦Ëٶȿ졣Ö÷»úÄÚÖÃ̽²âÆ÷ʹµÃÕû»úÓиü¿íµÄ²âÁ¿·¶Î§¡£ÒÇÆ÷Âú×ã¡¶»·¾³µØ±í¦Ã·øÉä¼ÁÁ¿Âʲⶨ¹æ·¶¡·ÖеͼÁÁ¿²¿·ÖµÄÒªÇ󡣸ÃÒÇÆ÷³ýÄܲâ¸ßÄÜ¡¢µÍÄܦÃÉäÏßÍ⣬»¹ÄܶԵÍÄÜXÉäÏß½øÐÐ׼ȷµÄ²âÁ¿£¬¾ßÓÐÁ¼ºÃµÄÄÜÁ¿ÏìÓ¦ÌØÐÔ¡£´ËÍâͨ¹ý