一品楼站街论坛,同城楼风信信息,小红楼论坛免费信息,群狼谷全国论坛

ÊÖ»úɨÂ룬΢ÐÅ×Éѯ!

»·¾³µç´Å²¨ÎÀÉú±ê×¼-·øÉäÒÇ,·øÉä¼ì²âÒÇ,·øÉ䱨¾¯ÒÇ,·øÉ䰲ȫ±¨¾¯ÒÇ,¸öÈË·øÉ䱨¾¯ÒÇ,·øÉ䱨¾¯Æ÷|ÉϺ£|·øÉä¼ì²âÒÇÆ÷Íø_ÔÆÄÏ_À¥Ã÷

µç»°£º86-021-69515711
´«Õ棺86-021-69515712

³ÉÏÈÉú-ÉϺ£ÈÊÈÕ·øÉä·À»¤ ¿Í·þ

ÁªÏµÎÒÃÇ
¹Ø×¢£ºÈÊÈտƼ¼
¹Ø×¢ÈÊÈտƼ¼;»ñÈ¡·øÉä·À»¤ÖªÊ¶£¡
ÍÆ¼ö²úÆ·
  •   REN200A ¸öÈË·øÉ䱨¾¯ÒÇ

    REN200AÐÍX¡¢¦Ã·øÉä¸öÈ˼ÁÁ¿µ±Á¿HP(10)¼à²âÒÇ£¨¼ò³Æ£º¸öÈ˼ÁÁ¿±¨¾¯ÒÇ£©ÄÚÖøßÁéÃô¶È¸Ç¸ñ¼ÆÊý¹ÜΪ̽²âÆ÷£¬Ö÷ÒªÓÃÀ´¼à²â¸÷ÖÖ·ÅÉäÐÔ¹¤×÷³¡ËùÖиöÈ˵ÄX¡¢¦ÃÒÔ¼°Ó²¦ÂÉäÏߵķøÉ䣬¾ßÓÐÏìÓ¦¿ì£¬²âÁ¿·¶Î§¿íµÄÌØµã¡£ÄÜÏÔʾ¹¤×÷³¡ËùµÄ¼ÁÁ¿µ±Á¿ÂʺÍÀÛ»ý¼ÁÁ¿£¬¸ü»»µç³ØÊ±£¬ÈÕÆÚ¼°ÀÛ»ýÊý¾ÝÄÜÓÀ¾Ã±£´æ¡£¿ÉÑ¡ÅäRenRiP

  •   REN600A ±ãЯʽ±íÃæÕ´ÎÛÒÇ

    REN600AÐͦÁ¡¢¦Â¡¢¦ÃÉäÏß±íÃæÎÛȾÒǼ´¿É¼ì²â¦Á¡¢¦Â¡¢¦ÃÉäÏߣ¬Ò²Äܼì²âµ½XÉäÏß,Ëü²ÉÓøßËÙǶÈëʽ΢´¦Æ÷×÷ΪÊý¾Ý´¦Àíµ¥Ôª£¬µãÕóʽ´óÆÁÄ»LCDÒº¾§ÏÔʾ£¬¶ÁÊýÇåÎú¡¢²Ù×÷·½±ã£¬¾ßÓÐ800Ìõ³¬´óÈÝÁ¿Êý¾Ý´æ´¢¡£ÒÇÆ÷²ÉÓýø¿ÚµÄ´óÃæ»ýMICA¸Ç¸ï̽²âÆ÷£¬¾ßÓнϸß̽²âЧÂÊ£¬¿É½øÐЦÁ¡¢¦Â·øÉä±íÃæÎÛȾ¼ì²âºÍX¡¢¦Ã·øÉä¼Á

  •   REN500A ·øÉäÒÇ

         REN500AÐÍÖÇÄÜ»¯§ç¡¢¦Ã·øÉäÒÇ£¨Óֽл·¾³¼à²âÓÃX¡¢¦Ã·øÉä¿ÕÆø±ÈÊͶ¯ÄÜ(ÎüÊÕ¼ÁÁ¿)ÂÊÒÇ»ò±ãЯʽX¡¢¦Ã·øÉäÖÜΧ¼ÁÁ¿µ±Á¿ÂÊÒÇ£©²ÉÓøßÁéÃôµÄÉÁ˸¾§Ìå×÷Ϊ̽²âÆ÷£¬·´Ó¦Ëٶȿ죬¾ßÓнϿíµÄ¼ÁÁ¿ÂʲâÁ¿·¶Î§¡£ ¸ÃÒÇÆ÷³ýÄܲâ¸ßÄÜ¡¢µÍÄܦÃÉäÏßÍ⣬»¹ÄܶԵÍÄÜXÉäÏß½øÐÐ×¼

  •   ·øÉä¾¯Ê¾ÅÆ µçÀë·øÉ侯¸æ±êÖ¾

    ²ÄÁÏ£º PVCËÜÁÏ   ²»¸É½º  ¹æ¸ñ£º 25 ¡Á 30cm ˵Ã÷£ºµçÀë·øÉ侯¸æ±êÖ¾µÄº¬ÒåÊÇʹÈËÃÇ×¢Òâ¿ÉÄÜ·¢ÉúµÄΣÏÕ¡£Æä±³¾°Îª»ÆÉ«£¬ÕýÈý½ÇÐα߿ò¼°µçÀë·øÉä±ê־ͼÐξùΪºÚÉ«£¬¡°µ±ÐĵçÀë·øÉ䡱ÓúÚÉ«´ÖµÈÏßÌå×Ö¡£±êÅÆµÄ³ß´ç¡¢ÐÎ×´ºÍÑÕÉ«¼°ÎÄ×ÖÃèÊöÑϸñ°´¡¶GB 18871-200

  •   REN-GM45-Mul ¦Á¡¢¦Â¡¢¦Ã¡¢X¶à¹¦ÄÜÉäÏß̽ͷ

    RENϵÁÐÖÇÄÜ»¯·øÉä̽ͷ¾ù¿ÉºÍREN300¡¢REN300A¡¢REN300BϵÁÐÖ÷»úÅäÌ×ʹÓÃ,Ò²¿ÉÒÔµ¥¶ÀÅäÌ×RenRiArea·øÉäÇøÓò¼à²âÈí¼þʹÓá£ÇÒ¾ßÓÐRS485/RS232µÄͨѶÄÜÁ¦¡£ËùÓÐ̽ͷ¾ù¿Éµ¥¶ÀÍâ½Ó±¨¾¯µÆ£¬ÔÚ³¬ãÐÖµµÄÇé¿öϾ͵ظø³öÉù¹â±¨¾¯¡£ 1¡¢²âÁ¿ÉäÏßÀàÐÍ£º¦Á¡¢¦Â¡¢¦Ã¡¢XÉäÏß2¡¢Ì½²âÆ÷£º

  •   RENϵÁÐ ·øÉä̽ͷ

    RENϵÁÐÖÇÄÜ»¯·øÉä̽ͷ¾ù¿ÉºÍREN300¡¢REN300A¡¢REN300BϵÁÐÖ÷»úÅäÌ×ʹÓÃ,Ò²¿ÉÒÔµ¥¶ÀÅäÌ×RenRiArea·øÉäÇøÓò¼à²âÈí¼þʹÓá£ÇÒ¾ßÓÐRS485/RS232µÄͨѶÄÜÁ¦¡£ËùÓÐ̽ͷ¾ù¿Éµ¥¶ÀÍâ½Ó±¨¾¯µÆ£¬ÔÚ³¬ãÐÖµµÄÇé¿öϾ͵ظø³öÉù¹â±¨¾¯¡£  £¨Ò»£©REN-GM-LÐÍ GM¹Ü

  •   Ç¦ÆÁ·ç ×¢ÉäÆ÷·À»¤Ì×

    µ¥ÁªÒƶ¯Ê½·À»¤ÆÁ·ç 1¡¢¹æ¸ñ³ß´ç£º  H¡ÁW£º1800¡Á900 (mm)2¡¢ÉÌÆ·ÃèÊö£º  Éϲ¿Ç¦Óлú²£Á§µÄ¸ß¶ÈΪ   H¡ÁW£º240¡Á240 (mm)3¡¢Ç¦µ±Á¿£º  Ǧ²£Á§0.5mmPb£¬  ϲ¿·ÖǦµ±Á¿Îª0.5mmpb4¡¢ÍâÊβÄÁÏ£ºÌ¼ËظְåÅç

  •   RenRiArea ·øÉ䰲ȫ¹ÜÀíÈí¼þ

    ΪÁ˼ÓÇ¿¶Ô·ÅÉäÔ´ºÍÉäÏß×°Öð²È«ÔËÐеļල¹ÜÀí£¬±£ÕÏÈËÌ彡¿µ¡¢±£»¤»·¾³£¬¸ù¾Ý·øÉä·À»¤ÈýÔ­ÔòÓë¹ú¼ÒÏà¹Ø±ê×¼µÄÒªÇ󣬿¼ÂÇÈËΪ²Ù×÷ʧÎó¡¢ÉäÏß×°ÖúͷÅÉäÔ´ÒâÍâ¹ÊÕϵÈÔ­Òò¿ÉÄÜÒý·¢µÄ·ÅÉäÐÔΣº¦£¬ÓбØÒª½¨ÉèÒ»Ì×ÔÚÏßx¦ÃÉäÏß¼à²â±¨¾¯ÏµÍ³¡£   ÔÚÏßʽx¦ÃÉäÏß¼à²â±¨¾¯ÏµÍ³Í¨¹ý¼ÆËã»úÔ¶³Ì¼¯Öмà²â,Íê³É¶Ô·ÅÉäÐÔ

±ê×¼Óë·¨¹æ

»·¾³µç´Å²¨ÎÀÉú±ê×¼

2005/12/27 15:57:00

»·¾³µç´Å²¨ÎÀÉú±ê×¼

ÖлªÈËÃñ¹²ºÍ¹ú¹ú¼Ò±ê×¼

UDC 614.898.5 GB 9175©¤88

Hygienic standard for environmental electromagnetic waves

±¾±ê׼Ϊ¹á³¹¡¶ÖлªÈËÃñ¹²ºÍ¹ú»·¾³±£»¤·¨ (ÊÔÐÐ)¡·£¬¿ØÖƵç´Å²¨¶Ô»·¾³µÄÎÛȾ¡¢±£»¤ÈËÃñ½¡¿µ¡¢´Ù½øµç´Å¼¼Êõ·¢Õ¹¶øÖƶ©¡£

±¾±ê×¼ÊÊÓÃÓÚÒ»ÇÐÈËȺ¾­³£¾ÓסºÍ»î¶¯³¡ËùµÄ»·¾³µç´Å·øÉ䣬²»°üÀ¨Ö°Òµ·øÉäºÍÉ䯵¡¢Î¢²¨ÖÎÁÆÐèÒªµÄ·øÉä¡£

1 ¸÷´ÊÊõÓï

1.1 µç´Å²¨

±¾±ê×¼Ëù³Æµç´Å²¨ÊÇÖ¸³¤²¨¡¢Öв¨¡¢¶Ì²¨¡¢³¬¶Ì²¨ºÍ΢²¨¡£

1.1.1 ³¤²¨

ָƵÂÊΪ 100¡«300KHz£¬ÏàÓ¦²¨³¤Îª3¡«1km·¶Î§Äڵĵç´Å²¨¡£

1.1.2 Öв¨

ָƵÂÊΪ 300KHz¡«3MHz£¬ÏàÓ¦²¨³¤Îª1km¡«100km·¶Î§Äڵĵç´Å²¨¡£

1.1.3 ¶Ì²¨

ָƵÂÊΪ 3¡«3MHz£¬ÏàÓ¦²¨³¤Îª100¡«10m·¶Î§Äڵĵç´Å²¨¡£

1.1.4 ³¬¶Ì²¨

ָƵÂÊΪ 30¡«300MHz£¬ÏàÓ¦²¨³¤Îª10¡«1m·¶Î§Äڵĵç´Å²¨¡£

1.1.5 ΢²¨

ָƵÂÊΪ 300MHz¡«300GHz£¬ÏàÓ¦²¨³¤Îª1m¡«1mm·¶Î§Äڵĵç´Å²¨¡£

1.1.6 »ìºÏ²¨¶Î

Ö¸³¤¡¢ÖС¢¶Ì²¨¡¢³¬¶Ì²¨ºÍ΢²¨ÖÐÓÐÁ½ÖÖ»òÁ½ÖÖÒÔÉϲ¨¶Î»ìºÏÔÚÒ»ÆðµÄµç´Å²¨¡£

1.2 µç´Å·øÉäÇ¿¶Èµ¥Î»

1.2.1 µç³¡Ç¿¶Èµ¥Î»

¶Ô³¤¡¢ÖС¢¶Ì²¨ºÍ³¬¶Ì²¨µç´Å·øÉ䣬ÒÔ·ü£¯Ã×£¨ V£¯m£©±íʾ¼ÆÁ¿µ¥Î»¡£

1.2.2 ¹¦ÂÊÃܶȵ¥Î»

¶Ô΢²¨µç´Å·øÉ䣬ÒÔ΢Íߣ¯Æ½·½ÀåÃ×£¨ ¦ÌW£¯cm 2 £©»òºÁÍߣ¯Æ½·½ÀåÃ×£¨mW£¯cm 2 £©±íʾ¼ÆÁ¿µ¥Î»¡£

1.2.3 ¸´ºÏ³¡Ç¿

Ö¸Á½¸ö»òÁ½¸öÒÔÉÏÆµÂʵĵç´Å²¨¸´ºÏÔÚÒ»ÆðµÄ³¡Ç¿£¬ÆäֵΪ¸÷µ¥¸öƵÂʳ¡Ç¿Æ½·½ºÍµÄ¸ùÖµ£¬¿ÉÒÔÏÂʽ±íʾ£º

ʽÖУº E©¤©¤¸´ºÏ³¡Ç¿£¬V£¯m£»

E 1 ¡¢E 2 ......En©¤©¤¸÷µ¥¸öƵÂÊËù²âµÃµÄ³¡Ç¿£¬V£¯m¡£

1.3 ·Ö¼¶±ê×¼

ÒÔµç´Å²¨·øÉäÇ¿¶È¼°ÆäƵ¶ÎÌØÐÔ¶ÔÈËÌå¿ÉÄÜÒýÆðDZÔÚÐÔ²»Á¼Ó°ÏìµÄãÐÏÂֵΪ½ç£¬½«»·¾³µç´Å²¨ÈÝÐí·øÉäÇ¿¶È±ê×¼·ÖΪ¶þ¼¶¡£

1.3.1 Ò»¼¶±ê×¼

Ϊ°²È«Çø£¬Ö¸Ôڸû·¾³µç´Å²¨Ç¿¶Èϳ¤ÆÚ¾Óס¡¢¹¤×÷¡¢Éú»îµÄÒ»ÇÐÈËȺ£¨°üÀ¨Ó¤¶ù¡¢Ôи¾ºÍÀÏÈõ²¡²ÐÕߣ©£¬¾ùÔÚ»áÊܵ½ÈκÎÓк¦Ó°ÏìµÄÇøÓò£»Ð½¨¡¢¸Ä½¨»òÀ©½¨µç̨¡¢µçÊǪ́ºÍÀ×´ïÕ¾µÈ·¢ÉäÌìÏߣ¬ÔÚÆä¾ÓÃñ¸²¸ÇÇøÄÚ£¬±ØÐë·ûºÏ ¡°Ò»¼¶±ê×¼¡±µÄÒªÇó¡£

1.3.2 ¶þ¼¶±ê×¼

ΪÖмäÇø£¬Ö¸Ôڸû·¾³µç´Å²¨Ç¿¶Èϳ¤ÆÚ¾Óס¡¢¹¤×÷ºÍÉú»îµÄÒ»ÇÐÈËȺ£¨°üÀ¨Ó¤¶ù¡¢Ôи¾ºÍÀÏÈõ²¡²ÐÕߣ©¿ÉÄÜÒýÆðDZÔÚÐÔ²»Á¼·´Ó¦µÄÇøÓò£»ÔÚ´ËÇøÄڿɽ¨Ô칤³§ºÍ»ú¹Ø£¬µ«ÔÚÐí½¨Ôì¾ÓÃñסլ¡¢Ñ§½Ï¡¢Ò½ÔººÍÁÆÑøÔºµÈ£¬Òѽ¨ÔìµÄ±ØÐë²ÉÈ¡Êʵ±µÄ·À»¤´ëÊ©¡£

³¬¹ý¶þ¼¶±ê×¼µØÇø£¬¶ÔÈËÌå¿É´øÀ´Óк¦Ó°Ï죻ÔÚ´ËÇøÄÚ¿É×÷ÂÌ»¯»òÖÖֲũ×÷Îµ«½ûÖ¹½¨Ôì¾ÓÃñסլ¼°ÈËȺ¾­³£»î¶¯µÄÒ»Çй«¹²ÉèÊ©£¬Èç»ú¹Ø¡¢¹¤³§¡¢É̵êºÍÓ°¾çÔºµÈ£»ÈçÔÚ´ËÇøÄÚÒÑÓÐÕâЩ½¨Öþ£¬ÔòÓ¦²ÉÈ¡´ëÊ©£¬»òÏÞÖÆ·øÉäʱ¼ä¡£

2 ÎÀÉúÒªÇó

»·¾³µç´Å²¨Ðí·øÉäÇ¿¶È·Ö¼¶±ê×¼¼ûϱí¡£

²¨³¤

µ¥Î»

ÈÝÐí³¡Ç¿

Ò»¼¶ ( °²È«Çø )

¶þ¼¶ ( ÖмäÇø )

³¤¡¢ÖС¢¶Ì²¨

V £¯ m

¡´ 10

¡´ 25

³¬¶Ì²¨

V £¯ m

¡´ 5

¡´ 12

΢²¨

¦ÌW £¯ cm 2

¡´ 10

¡´ 40

»ìºÏ

V £¯ m

°´Ö÷Òª²¨¶Î³¡Ç¿£»Èô¸÷²¨¶Î³¡·ÖÉ¢£¬Ôò°´¸´ºÏ³¡Ç¿¼ÓȨȷ¶¨

3 ¼à²â¼ìÑé·½·¨

±¾±ê×¼»·¾³µç´Å²¨ÈÝÐí·øÉäÇ¿¶È¼à²â¼ìÑé·½·¨¼û¸½Â¼ A¡£

4 ¼à¶½Ö´ÐÐ

¸÷¼¶ÎÀÉú·ÀÒßÕ¾»ò¸÷¼¶»·¾³ÎÀÉú¼à²âÕ¾¸ºÔð¼à¶½±¾±ê×¼µÄÖ´ÐС£

¸½ ¼ A

»·¾³µç´Å²¨²âÁ¿¹æ·¶

£¨²¹³ä¼þ£©

A.1 ÊÊÓ÷¶Î§

±¾¹æ·¶ÊÊÓÃÓÚ·Å·øÉäÔ´Ëù²úÉúµÄ»·¾³µç´Å²¨£¬ÆäƵÂʸ²¸Ç·¶Î§£º³¤¡¢ÖС¢¶Ì²¨£¨ 100kHz¡«30MHz£©£¬³¬¶Ì²¨£¨30MHz¡«300MHz£©£¬¼°Î¢²¨£¨300MHz¡«300GHz£©¡£

A.2 ¹æ·¶ÄÚÈÝ

A.2.1 ²âÁ¿·½Ê½

¸ù¾Ý²»Í¬ÐèÒªÓëÄ¿µÄ£¬Ó¦Óò»Í¬µÄ²âÁ¿·½Ê½£¬¶ÔÒѽ¨Ì¨ºÍÀ©½¨Ì¨£¬Îªµ÷²é·øÉäÔ´ÖÜΧ»·¾³µç´Å²¨·øÉäÇ¿¶È£¬¼°Æä·Ö²¼¹æÂÉ£¬³£ÒÔ·øÉäԴΪÖÐÐÄ£¬ÔÚ²»Í¬·½Î»È¡µãµÄ·½Ê½½øÐвâÁ¿£¬¼ò³Æµã²â£»ÎªÈ«Ãæµ÷²éijµØÇø»·¾³µç´Å²¨µÄ±³¾°Öµ¼°°´È˿ڵ÷²é¾ÓÃñÈËȺËùÊÜ·øÉäÇ¿¶ÈµÄ²âÁ¿¼ò³ÆÃæ²â¡£

A.2.1.1 µã²âʱÒÔ·øÉäԴΪÖÐÐÄ£¬½«´ý²âÇø°´5¡ã¡«10¡ã½Ç¶È»®Ïߣ¬³ÊÉÈÐÎÕ¹¿ª¡£Ëæ´Ë»®Ïߣ¬½üÇø³¡ÒÔÿ¸ô5¡«20min¶¨µã²âÁ¿£¬Ô¶Çø³¡ÒÔÿ¸ô50¡«100m¶¨µã²âÁ¿£¬»ò°´ÌØÊâÐèҪѡµã²âÁ¿¡£

A.2.1.1.1 ¼òÒײâÁ¿£ºÒ»°ãÓø÷ÏòͬÐÔ̽ͷµÄ¿íƵ¶Î³¡Ç¿ÒDzⶨ֮£¬Èç̽ͷΪ·Ç¸÷ÏòͬÐÔÕߣ¬Ôò·Ö±ð²â¶¨¸÷²»Í¬¼«»¯·½ÏòµÄ³¡Ç¿Öµ£¬È¡ÆäʸÁ¿ºÍ¡£

A.2.1.1.2 Ãæ²âÁ¿£¬½«´ý²âµØÇø(³ÇÊÐ)°´ÈË¿Úͳ¼Æ»®·ÖÈô¸ÉÐ¡Çø£¬²¢±êÃ÷¸÷Ð¡Çø¾ÓÃñÖØÐĵØÀí×ø±ê£¬´ÓÖÐÑ¡ÔñÈô¸ÉÓдú±íÐÔµÄÐ¡Çø×÷Ϊ¼à²âµã£¬²âÁ¿ÒÇÆ÷Ó¦Óû·¾³µç´Å²¨×Ô¶¯¼à²âϵͳ£¬ÊµÏÖ¸÷Ƶ¶Î×Ô¶¯É¨Ãè¡¢×Ô¶¯²âÁ¿ºÍʵʱ´¦Àí¡£È»ºó¸ù¾Ý¸÷Ð¡ÇøÈË¿ÚÊýÁ¿½øÐмÓȨ£¬Çó³ö¸ÃµØÇø£¨³ÇÊУ©¾ÓÃñ»·¾³µç´Å²¨±©Â¶Ç¿¶ÈÀÛ¼Ó°Ù·ÖÊý¡£

A.2.2 ²âÁ¿Î»ÖÃ

A.2.2.1 ¿õҰƽ̹µØÃæ»·¾³²âÁ¿Ò»°ãÒÔÈ˵ĸ߶ȣ¬¼´1.7m×óÓÒ´¦²â¶¨£¬ÈçΪ´ý½¨µØ¶Î£¬ÔòÓ¦ÔÚ´ý½¨½¨ÖþÎïÏàÓ¦¸ß¶È´¦²â¶¨¡£

A.2.2.2 ½¨ÖþÎïÄÚ²¿²âÁ¿£¬Ó¦ÒÔ²»Í¬²ã´ÎÑ¡ÔñÓдú±íÐÔµÄÈô¸Éµã·Ö±ð²â¶¨Ö®¡£

A.2.3 ²âÁ¿ÒÇÆ÷

·øÉäÔ´ÖÜΧµÄ²âÁ¿£¬Ó¦Ñ¡ÓÃÁéÃô¶È ¡Ü1V£¯m£¬»ò¡Ü1¦ÌW/cm 2 £¬¾«¶È¡Ü©¦2DB©¦µÄ³¡Ç¿ÒÇ£»ÇøÓòÐÔ±³¾°³¡Ç¿²âÁ¿£¬Ó¦Ñ¡ÓÃ¿íÆµ´øÌìÏß¡¢ÆµÆ×·ÖÎöÒǺ͵ç×Ó¼ÆËã»úÅäÌ×µÄ×Ô¶¯´¦Àíϵͳ¡£

A.2.4 ²âÁ¿¼Ç¼ÕûÀí

³ý¼Ç¼ȫ²¿²âÁ¿Êý¾ÝÍ⣬»¹Ó¦°üÀ¨£º²âÁ¿µØµã¡¢²âÁ¿µØµã¡¢²âÁ¿Ê±¼ä¡¢²âÁ¿ÈÕÆÚ¡¢²âÁ¿ÒÇÆ÷¡¢ÌìÏ߸߶ȼ°²Î¼Ó²âÁ¿ÈËÔ±µÈ¡£

A.2.5 ³¡Ç¿¼ÆËã

°´¹«Ê½¼ÆË㣬Ö÷Òª¹©Ð½¨¹ã²¥µç̨¡¢µçÊǪ́¡¢À×´ïÕ¾¡¢µØÃæÎÀÐÇÕ¾µÈµØµãÑ¡ÔñºÍ½¨Á¢ÎÀÉú·À»¤´ø×÷¸ù¾Ý¡£

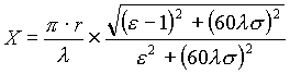
A.2.5.1 ³¤¡¢Öв¨£¨´¹Ö±¼«»¯²¨£©³¡Ç¿¼ÆË㹫ʽ£º

¡­¡­¡­¡­¡­¡­¡­¡­¡­¡­¡­¡­¡­¡­¡­¡­¡­¡­(A1)

F£½1.41¡¤£¨2£«0.3X£©/£¨2£«X£«0.6X 2 £©.......................£¨A 2 £©

¡­¡­¡­¡­¡­¡­¡­¡­¡­¡­¡­¡­¡­¡­¡­¡­(A3)

ʽÖУº P©¤©¤·¢Éä»ú¹¦ÂÊ£¬KW£»

r©¤©¤±»²âµãÓë·¢ÉäÌìÏߵľàÀ룬Km£»

G©¤©¤Ïà¶ÔÓڽӵػù±¾Õñ×ÓµÄÌìÏßÔöÒæ£¬DB£»

F©¤©¤µØÃæµÄË¥¼õϵÊý£»

X©¤©¤ÊýÁ¿¾àÀ룻

¦Ë©¤©¤²¨³¤£¬m£»

¦Å©¤©¤½éµç³£Êý£»

¦Ä©¤©¤µ¼µçϵÊý£¬1£¯¦¸¡¤m¡£

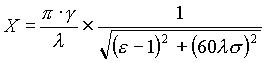
A.2.5.2 ¶Ì²¨(ˮƽ¼«»¯²¨)³¡Ç¿¼ÆË㹫ʽ£º

¶Ì²¨ (ˮƽ¼¶»¯²¨)³¡Ç¿¼ÆË㹫ʽͬʽ£¨A 1 £©¡¢£¨A 2 £©£¬µ«ÆäÖÐX°´Ê½£¨A4£©¼ÆË㣺

¡­¡­¡­¡­¡­¡­¡­¡­¡­¡­¡­¡­¡­¡­¡­¡­¡­(A4)

A.2.5.3 µçÊÓ¡¢µ÷Ƶ³¬¶Ì²¨³¡Ç¿¼ÆË㹫ʽ

¡­¡­¡­¡­¡­¡­¡­¡­¡­¡­¡­¡­¡­¡­¡­¡­¡­(A5)

ʽÖУº P©¤©¤·¢Éä»ú¹¦ÂÊ£¬KW£»

G©¤©¤Ïà¶ÔÓڰ벨ż¼«×ÓµÄÌìÏßÔöÒæ£¬DB£»

r©¤©¤±»²âµãÓë·¢ÉäÌìÏߵľàÀ룬Km£»

F£¨¦È£©©¤©¤ÌìÏß´¹Ö±Ãæ·½ÏòÐÔº¯Êý£¨ÊÓÌìÏßÐÍʽºÍ²ãÊý¶øÒ죩¡£

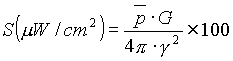
A.2.5.4 À×´ïµÈ΢²¨¹¦ÂÊÃܶÈS¼ÆË㹫ʽ£º

¡­¡­¡­¡­¡­¡­¡­¡­¡­¡­¡­¡­¡­¡­¡­¡­¡­(A6)

ʽÖÐ : ©¤©¤ ·¢Éä»úƽ¾ù¹¦ÂÊ£¬ W £»

G©¤©¤ÌìÏßÔöÒæ£¬DB£»

r©¤©¤ÌìÏßÓë±»²âµã¾àÀ룬m¡£

A.2.6 ¼ÆÁ¿µ¥Î»µÄ»»Ëã

µç³¡Ç¿¶ÈÓ빦ÂÊÃܶÈÔÚÔ¶Çø³¡ÖеĻ»Ë㹫ʽ

S£½E 2 /377...................................£¨A 7 £©

ʽÖУº S©¤©¤¹¦ÂÊÃܶÈ£¬W£¯m 2 £»

E©¤©¤µç³¡Ç¿¶È£¬V£¯m¡£

¸½¼Ó˵Ã÷£º

±¾±ê×¼ÓÉÕã½­Ò½¿Æ´óѧ¸ºÔðÆð²Ý£¬ÓÉÄϾ©Ò½Ñ§Ôº¡¢±±¾©Ò½¿Æ´óѧ¡¢Í¬¼ÃÒ½¿Æ´óѧ²Î¼ÓÆð²Ý¡£

±¾±ê×¼Ö÷ÒªÆð²ÝÈ˽ª»±¡¢ÉÛ±ó½Ü¡¢Ê©¿£ÈË¡£

±¾±ê×¼ÓÉÎÀÉú²¿Î¯Íм¼Êõ¹é¿Úµ¥Î»ÖйúÔ¤·Àҽѧ¿ÆÑ§Ôº»·¾³ÎÀÉú¼à²âËù¸ºÔð½âÊÍ¡£

GB 9175-88

»·¾³µç´Å²¨ÎÀÉú±ê×¼ µÄÏà¹Ø²úÆ·£º
  • REN320ÐÍÁ¢ÖùʽX¡¢¦Ã·øÉä»·¾³¼à²âÒÇ

    ²úÆ·Ãû³Æ£ºREN320ÐÍÁ¢ÖùʽX¡¢¦Ã·øÉä»·¾³¼à²âÒÇ

    ²úÆ·ÃèÊö£º REN320Á¢ÖùʽX¡¢¦Ã·øÉä»·¾³¼à²âÒÇÖ÷ÒªÓÃÓÚ·ÅÉäÐÔ¼à²â³¡ËùµÄÐÐÈË»òÐаüͨ¹ýµÄ¼à²âϵͳ£¬²ÉÓôóÌå»ýµÄÉÁ˸Ìå̽²âÆ÷×÷Ϊ̽²âÆ÷£¬¾ßÓÐÌå»ýС£¬±ãÓÚЯ´ø£¬ÁéÃô¶È¸ß£¬Îó²îСµÄÌØµã£¬ÊÊÓÃÓëºËÓ¦¼±µÈÌØÊâµÄ·ÅÉäÐÔ¼ì²â³¡ºÏ¡£¸Ã·øÉäÒÇÓÉÒ»¸ù±ãЯʽÁ¢ÖùºÍÒ»¸öREN400ÐͶ๦ÄÜ·øÉäÒÇÖ÷»ú×é³É¡£·øÉäÁ¢ÖùÓë̽ͷ֮

  • REN-GM-LÐÍGM¹ÜÖÐÁ¿³ÌÉäÏß̽ͷ

    ²úÆ·Ãû³Æ£ºREN-GM-LÐÍGM¹ÜÖÐÁ¿³ÌÉäÏß̽ͷ

    ²úÆ·ÃèÊö£ºRENϵÁÐÖÇÄÜ»¯·øÉä̽ͷ¾ù¿ÉºÍREN300¡¢REN300A¡¢REN300BϵÁÐÖ÷»úÅäÌ×ʹÓÃ,Ò²¿ÉÒÔµ¥¶ÀÅäÌ×RenRiArea·øÉäÇøÓò¼à²âÈí¼þʹÓá£ÇÒ¾ßÓÐRS485/RS232µÄͨѶÄÜÁ¦¡£ËùÓÐ̽ͷ¾ù¿Éµ¥¶ÀÍâ½Ó±¨¾¯µÆ£¬ÔÚ³¬ãÐÖµµÄÇé¿öϾ͵ظø³öÉù¹â±¨¾¯¡£ 1¡¢²âÁ¿ÉäÏßÀàÐÍ£ºX¡¢¦ÃÉäÏß2¡¢Ì½²âÆ÷£ºGM¹Ü̽

  • XÉäÏß·À»¤Ç¦·þ,ǦÒÂ,Ǧȹ,Ǧñ,ǦÑÛ¾µ,ǦÊÖÌ×,Ǧ½ÅÌס¢Ç¦Í·¿ø

    ²úÆ·Ãû³Æ£ºXÉäÏß·À»¤Ç¦·þ,ǦÒÂ,Ǧȹ,Ǧñ,ǦÑÛ¾µ,ǦÊÖÌ×,Ǧ½ÅÌס¢Ç¦Í·¿ø

    ²úÆ·ÃèÊö£ºÒ»¡¢³¤Ðä¡¢°ëÐä¡¢ÎÞÐäÉäÏß·À»¤·þ   1¡¢·À»¤Ç¦Æ¤£ºÈáÈí·À»¤²ÄÁÏ£»  2¡¢·À»¤ÐÔÄܼѣºÇ¦·Ö²¼¾ùÔÈ£»Ìṩ0.35/0.5mmPbǦµ±Á¿£» ÄÍÄ¥¡¢Ò×ÇåÏ´±íÃæ²ÄÁÏ  3¡¢½á¹¹Éè¼Æ£º²ÉÓöà²ã²ÄÁÏÖÆ×÷£¬¼ÓÉÏרҵµÄÈËÐÔ»¯½á¹¹Éè¼Æ£¬ÈÃÄú´©´÷ÊæÊÊ£»  4¡¢ ¾«ÃÜÖÆ×÷¹¤ÒÕ£º×ö¹¤¾«

  • REN300+REN-3He-NÐ͹̶¨Ê½ÖÐ×Ó¡¢Ù¤Â걨¾¯ÒÇ

    ²úÆ·Ãû³Æ£ºREN300+REN-3He-NÐ͹̶¨Ê½ÖÐ×Ó¡¢Ù¤Â걨¾¯ÒÇ

    ²úÆ·ÃèÊö£º±¾±¨¾¯ÒÇÓÉREN300ÔÚÏß·øÉ䰲ȫ±¨¾¯ÒǺÍREN-3He-NÖÐ×Ó̽ͷºÍREN-NaI30Ù¤Âê̽ͷ×é³É¡£¸Ã·øÉ䱨¾¯×°ÖÃÊDzÉÓÃÌØÊâÉè¼ÆµÄǰÖ÷Ŵóµç·£¬¾ßÓÐÁéÃô¶È¸ß¡¢²Ù×÷·½±ã¡¢×Ô¶¯ÏÔʾ¡¢Êý¾Ý´æ´¢ºÍ³¬ãÐÖµ±¨¾¯µÈÌØµã£¬ÄÜʵʱ¸ø³öxÉäÏß¡¢¦ÃÉäÏß¡¢ÖÐ×ÓÉäÏߵķøÉä¼ÁÁ¿ÂÊ¡£¿¼Âǵ½ÏÖ³¡²Ù×÷¡¢Ó¦¼±¿ìËÙÏìÓ¦µÄÐèÒª£¬Ö÷»ú°²×°

  • REN-3GM-HÐÍGM¹Ü¸ßÁ¿³ÌX¡¢¦ÃÉäÏß̽ͷ

    ²úÆ·Ãû³Æ£ºREN-3GM-HÐÍGM¹Ü¸ßÁ¿³ÌX¡¢¦ÃÉäÏß̽ͷ

    ²úÆ·ÃèÊö£ºRENϵÁÐÖÇÄÜ»¯·øÉä̽ͷ¾ù¿ÉºÍREN300¡¢REN300A¡¢REN300BϵÁÐÖ÷»úÅäÌ×ʹÓÃ,Ò²¿ÉÒÔµ¥¶ÀÅäÌ×RenRiArea·øÉäÇøÓò¼à²âÈí¼þʹÓá£ÇÒ¾ßÓÐRS485/RS232µÄͨѶÄÜÁ¦¡£ËùÓÐ̽ͷ¾ù¿Éµ¥¶ÀÍâ½Ó±¨¾¯µÆ£¬ÔÚ³¬ãÐÖµµÄÇé¿öϾ͵ظø³öÉù¹â±¨¾¯¡£ 1¡¢²âÁ¿ÉäÏßÀàÐÍ£ºX¡¢¦ÃÉäÏß2¡¢Ì½²âÆ÷£º3¸öGM

  • REN-2GM-SN-HÐ͸ßÁ¿³ÌX¡¢¦ÃÉäÏß̽ͷ

    ²úÆ·Ãû³Æ£ºREN-2GM-SN-HÐ͸ßÁ¿³ÌX¡¢¦ÃÉäÏß̽ͷ

    ²úÆ·ÃèÊö£ºRENϵÁÐÖÇÄÜ»¯·øÉä̽ͷ¾ù¿ÉºÍREN300¡¢REN300A¡¢REN300BϵÁÐÖ÷»úÅäÌ×ʹÓÃ,Ò²¿ÉÒÔµ¥¶ÀÅäÌ×RenRiArea·øÉäÇøÓò¼à²âÈí¼þʹÓá£ÇÒ¾ßÓÐRS485/RS232µÄͨѶÄÜÁ¦¡£ËùÓÐ̽ͷ¾ù¿Éµ¥¶ÀÍâ½Ó±¨¾¯µÆ£¬ÔÚ³¬ãÐÖµµÄÇé¿öϾ͵ظø³öÉù¹â±¨¾¯¡£ 1¡¢²âÁ¿ÉäÏßÀàÐÍ£ºX¡¢¦ÃÉäÏß2¡¢Ì½²âÆ÷£º2¸öGM

  • REN310ÐÍÁ¢Öùʽ·øÉä¼à²âϵͳ

    ²úÆ·Ãû³Æ£ºREN310ÐÍÁ¢Öùʽ·øÉä¼à²âϵͳ

    ²úÆ·ÃèÊö£º    REN310ÐÍÁ¢Öùʽ·øÉä¼à²âϵͳ£¬Ö÷ÒªÓÃÓÚ·ÅÉäÐÔ¼à²â³¡ËùµÄÐÐÈË»òÐаüͨ¹ýµÄ¼à²âϵͳ£¬²ÉÓôóÌå»ýµÄÉÁ˸Ìå̽²âÆ÷×÷Ϊ̽²âÆ÷£¬¾ßÓÐÌå»ýС£¬±ãÓÚЯ´ø£¬ÁéÃô¶È¸ß£¬Îó²îСµÄÌØµã£¬ÊÊÓÃÓëºËÓ¦¼±µÈÌØÊâµÄ·ÅÉäÐÔ¼ì²â³¡ºÏ¡£¸ÃϵͳÖ÷ÒªÓɰ²×°ÔÚÏÖ³¡µÄÁ¢ÖùºÍÔ¶³Ì¼ÆËã»úϵͳ×é³É¡£Á¢ÖùÄÚÖõÄ